The Carolina Way VIII

Status
Not open for further replies.

Mark Gastineau

All-Conference
Feb 26, 2009
88,761
3,103
0
First comment after the Hatchell article is very interesting: "Will this lady give back all the cash she got in bonuses because her team met its Academic Progress Rate?"
 

DevilDJ

All-Conference
Sep 11, 2001
9,580
2,223
0
First comment after the Hatchell article is very interesting: "Will this lady give back all the cash she got in bonuses because her team met its Academic Progress Rate?"


Kinda throws a rod thru all that tarhole coach-speak about not knowing what's going on with their player's academics , don't it? Sylvia , Roy , Fed , Fox et al receive bonuses when their players achieve academically yet , somehow , they all remain ignorant of the payments given when such things happen. I guess ol' Roy looks at that bonus payment and says , "Well golly. Wutz this here fer? I reckon they dun give me a lil extree jus' fer me bein' me." lol
 
  • Like
Reactions: Mark Gastineau

DevilDJ

All-Conference
Sep 11, 2001
9,580
2,223
0
Quick response to some nonsense in the @_andrewcarter article and Hatchell's comments.

 

DevilDJ

All-Conference
Sep 11, 2001
9,580
2,223
0
Another unx "spoon fed" media report. @_andrewcarter article was rife w/ unchallenged inaccuracies. This is particularly disgusting. Wade Hargrove whining that the local media are "sensationalizing" the facts rather than focus on the good things at unx so the plan is to "spoon-feed" media with PR nonsense. Don't know whether to crap or go blind....

 

DevilDJ

All-Conference
Sep 11, 2001
9,580
2,223
0
More for Hatchell. Let's answer Sylvia Hatchell's question since media didn't seem to follow up on the obvious unx talking point.

 

DevilDJ

All-Conference
Sep 11, 2001
9,580
2,223
0
2011 unx Subgroup found coaches had employment power over academic counselors. Did anyone ask Hatchell @ this?

 

DevilDJ

All-Conference
Sep 11, 2001
9,580
2,223
0
Wonder if @_andrewcarter or any other NC media asked Hatchell about this when she spoke @ academic counselors.

 

DevilDJ

All-Conference
Sep 11, 2001
9,580
2,223
0
unx Distinguished Prof. Watson: nothing unx faculty could do to keep Athletic Dept from getting what it wants.

 

youngman42

All-Conference
Jan 27, 2003
6,792
1,342
57
Not sure why this isn't a "Sticky Thread?"

The chonicling here - esp. by DevilDJ - is better than basically anything written by anyone on this thread. It's historically significant. Hello, moderators? You still awake?

#eyesrolling
 

DevilDJ

All-Conference
Sep 11, 2001
9,580
2,223
0
Tarhole beat writer Andrew Carter got his azz handed to 'im today on Twitter. Couldn't leave well enough alone and his wrong-headed unx propoganda got thrown back at 'im. Poor guy. Anyone not wearin' unx-blue truth-blockers knows Bubba ain't waitin' on an amended NOA. Anyway , given the carnage earlier today ya knew he'd write this...


UNC still hopeful of spring resolution to NCAA case, but wait continues for amended NOA

UNC has been waiting since August to receive amended Notice of Allegations from NCAA

Once UNC receives amended NOA it will have 90 days to respond

UNC AD Bubba Cunningham still hopeful of spring resolution to case

Officials at North Carolina are still hopeful that a long-running NCAA investigation can conclude sometime in the spring. The likelihood of that, though, depends on how quickly UNC receives its amended Notice of Allegations (NOA) from the NCAA.

How quickly the case is resolved also depends on what the amended NOA contains, Bubba Cunningham, the UNC athletic director, said in an interview on Thursday. The contents of the NOA will determine the timeline for the rest of the case, Cunningham said.

In August UNC was days away from the deadline to respond to the first NOA, which it received from the NCAA in May. Four days before the deadline, though, UNC announced that it had supplied additional details of potential violations to the NCAA.

The case has been in a holding pattern ever since. When UNC submitted those new details to the NCAA, the question then was whether the new information would prompt the NCAA to send an amended NOA back to UNC.

Cunningham has said in the months since that UNC would indeed receive an amended NOA. The question for a while now is when exactly UNC will receive it. Back in August, Cunningham said he was hopeful the NCAA would provide it within 60 says.

That 60-day window closed in October. And, still, there's no indication of when UNC will receive its amended NOA. When it does, the university will have another 90 days to respond to it – but Cunningham said on Thursday he wasn't sure whether UNC would need the full 90 days to respond.

How long it takes UNC to respond, he said, depends on the contents of the amended NOA. Cunningham said he hoped to have a better idea by next week of when UNC might receive its new NOA.

Either way, it appears there's no end in sight to a case that continues to drag on. After UNC receives its amended NOA, the university would have to respond to it. And then, after that response, the NCAA Committee on Infractions would have to hear UNC’s case.

After that happens, it could still take several months for the committee to issue its ultimate ruling. And depending on that ruling, UNC would have the option to appeal. And so while Cunningham is still hopeful for a spring resolution, it appears that a summer or fall resolution might be more likely.


http://www.newsobserver.com/sports/college/acc/unc/unc-now/article53603345.html
 

DevilDJ

All-Conference
Sep 11, 2001
9,580
2,223
0
Fact-checking Sylvia...


BDevilU ‏@BDevilU1

@BlueDevilicious @_andrewcarter Lie#1) Sylvia claimed current players were 8-10 yrs old. Last WBB enrollment: Summer 2011. At least 1 was 18

BDevilU ‏@BDevilU1

@BlueDevilicious @_andrewcarter Lie#2) Sylvia claimed counselors had no AD ties. Now, after "reforms". Then? Financed, hired, reported to AD

BDevilU ‏@BDevilU1

@BlueDevilicious @_andrewcarter Only after the scandal broke and "reforms" instituted was the direct reporting line to the AD severed.

 

DevilDJ

All-Conference
Sep 11, 2001
9,580
2,223
0
#BetterMousetrap...


Posted: 1/7/2016 4:44 PM Re: UNC-CHEAT Scandal - When is judgment day?


pointwolf
A wise man, indeed
Rating: 3.1/5 this site
13333 posts this site
Ignore this Member
Send Private Message
Avatar

Just how many easy " public ivy classes " does UNC have to keep these 5th grade reading level athletes eligible? With AFAM on the watch list, new subjects have to start appearing.

ps........alert, the athletes are being spread out with different profs being promised not to have more that 3 per class with only one dummy out of the three.

The profs are getting sweet talked by upper level admins as they are pitching this as a solution to clustering. MBB is the biggest issue.
 

DevilDJ

All-Conference
Sep 11, 2001
9,580
2,223
0
Almost feel dirty linking this. Chansky reviews Bethel. Kinda like Roy reviewing Wayne Walden. "Riveting." "Must-see." BWAHAHAHAHAHA......


Chansky’s Notebook: Unverified Riveting

The much-awaited documentary on the UNC academic scandal premiers at the Varsity Theater Friday night in a private showing. Chapelboro obtained an advance copy from producer and former UNC athletic tutor Bradley Bethel, and for anyone who loves this university, it is a riveting 90-minute watch that is a must-see.


http://chapelboro.com/columns/sports-notebook/chanskys-notebook-unverified-riveting/


Chansky "reviewed...."


BlueDevilicious ‏@BlueDevilicious

@ArtChansky has a new PR hack article about Bethel's Unverified fiction. Let's take a look.




 

DevilDJ

All-Conference
Sep 11, 2001
9,580
2,223
0
From the above e-mail....


"To no surprise ( unc basketball player ) has a new COMM class on his schedule."


#StromanKnew

#NotJustAFAM
 

DevilDJ

All-Conference
Sep 11, 2001
9,580
2,223
0
Hatchell recruits could put "whole program at significant risk". Yet Hatchell shifts responsibility.

 

DevilDJ

All-Conference
Sep 11, 2001
9,580
2,223
0
unx athletic department among least transparent-Columbus Dispatch. Not a single record produced in 6 mos.

 

DevilDJ

All-Conference
Sep 11, 2001
9,580
2,223
0
UNC History prof calls out Martin whitewash report blaming academics, not athletics.

 

DevilDJ

All-Conference
Sep 11, 2001
9,580
2,223
0
Another review of "Unverified...."


UNVERIFIED: THE UNTOLD STORY BEHIND THE UNC SCANDAL

“Unverified” opens tonight at The Varsity theater in downtown Chapel Hill, but Bradley Bethel, the film’s writer and director, was kind enough to share an advanced copy with SportsChannel8 for review. Due to the supercharged nature of the subject matter in our state, we’ll touch on both the film itself, and the backdrop of the UNC scandal.

Synopsis (provided via press kit):

“If you don’t read the newspapers, you’re uninformed. If you read the newspapers, you’re misinformed.” – Mark Twain

Beginning in 2011, the story of UNC’s “fake classes” made national headlines as a massive athletics scandal. Caught between university deans unwilling to accept responsibility and news media eager to implicate athletics, UNC’s academic counselors for athletes found themselves accused of complicity and without the means to defend themselves. Bradley Bethel was a reading specialist for UNC athletes and was outraged by the way the press portrayed his colleagues. Refusing to remain silent, he set out to defend those falsely accused and give them a platform to tell their side of the story . In the process, he realized the problem was even bigger than the media. Following Bradley over the course of a year, UNVERIFIED challenges the headlines and tells a story more complicated and heartbreaking than the one we’ve heard in the news.

Critical Review:

When you get the answer you want, stop asking questions.

If that’s the intended takeaway Bethel aimed to provide to the audience when he set out to make “Unverified”, then the film was an absolute success. Unfortunately, there were far too many instances where the filmmaker drove home this lesson by example, and the journey to shine a different light on friends Beth and Jamie, two academic counselors within the University of North Carolina’s maligned athletics support staff who were terminated in the wake of the Wainstein Report and subsequently raked through the coals by the media, fell short.

The film focused entirely too much on Bethel himself, including inner monologues, a 90-second montage of Bethel approaching and entering Ohio Stadium (although this certainly resonates with any sports fan), and a completely unnecessary scene where Bethel shouts at his laptop in anger over reading an editorial on the UNC scandal from a national football writer

The low point of the film was a scene in Bethel’s house where he called a writer on speakerphone to confront him about allegedly misrepresenting a quote from ex-football star Deutna Williams. The writer expresses that he declined an invitation to be in Bethel’s documentary and reiterated a desire not to be included, all while unknowingly being filmed for the purpose of being included in the documentary after all. This scene greatly damaged Bethel’s intent to show that media will go to any measures to tell an emotionally charged story devoid of facts, which is exactly what Bethel did during this segment.

That’s not to say that there weren’t poignant, must-see moments throughout the 90 minute documentary. Beth Bridger sharing the details of how she was terminated by the University drew me into her story, and a great interview with UNC journalism professor Adam Hochberg was one of the few times Bethel’s choice to feature himself paid off. During the conversation, Hochberg points out “the media didn’t fire anyone”, and the immediate reversal in Bethel’s direction was a refreshing reminder that minds can be changed. Lastly, the film’s climax, an interview with ex-Chancellor James Moeser, was well worth the time it took to view the entire documentary.

In fact, the Moeser interview should have been a clue to Bethel to scrap the project and start over from the beginning as soon as he heard “AFAM was given a pass because no one wanted to be seen as dealing harshly with an African American Studies Department. Candidly.” Moeser goes on to add, “[Those responsible for the scandal] were people that were trying to help other people. People who were mostly poor, mostly black, coming from very poor households … giving them a leg up.” Now THAT’S a documentary, the attitude towards the AFAM department and its eventual, irreversible destruction, that’s far more gripping than the plight of two former academic advisors who both landed on their feet quite nicely just months after being dismissed by the university.

Unfortunately, Bethel redirected Moeser to the Wainstein report and succeeded in getting him to question whether or not the report was used appropriately to pinpoint Beth and Jamie, and in getting him to admit that the two may have been used as scapegoats when the University was satisfied with the answer they wanted to hear.

As with everyone else in the crosshairs of this documentary – the media and their readers, the investigators, and the University at large – as soon as Bethel got the answer he set out to find, the film ends with Bethel walking away from a freshly painted Old Well, satisfied with a job well done.

Now, on the topic of the backdrop itself, I expect most will be disappointed that Bethel doesn’t attack the validity of the allegations against the University of North Carolina. There’s enough sprinkled in that will satisfy UNC’ers and anger ABC’ers, but the scandal is not a central piece of the film. Considering that Bethel raised $150,000 from private donations, and assuming that a large portion of those donations came from Tar Heel fans expecting “Unverified” to rip apart the core of the Wainstein report and exonerate the university, I’m very interested to follow the reactions from the general public after seeing the film.

Personally, I enjoyed the film more than I would have if the scandal had been the central piece of the story. There’s a general acceptance that something bad happened at UNC for a long period of time, and there’s certainly an effort to show that academic advisors did nothing wrong in providing the athletes an opportunity to succeed, and the athletes did nothing wrong in taking advantage of that support. There is such fatigue surrounding this topic in North Carolina that the film is better off for keeping that story on the outskirts, and in general, is a relatively enlightening look at how the media tells stories and how the public consumes them.

The absence of information gets filled with assumptions, and as pointed out previously, when we, the audience, hear the answers we want to hear, we stop looking for actual information to fill those gaps. The pinning of the UNC scandal on two members of the academic support staff in athletics gives the media a great story to write, gives the University and their athletics department a plausible scapegoat, and gives UNC fans enough distance from head coaches and athletic staff members. It’s not fair, and Bethel succeeded in pointing that out. I just wish the film had gone further in getting those in power to dig deeper instead of just being satisfied with a small piece of personal validation.


http://sportschannel8.com/2016/01/08/unverified-the-untold-story-behind-the-unc-scandal/
 

DevilDJ

All-Conference
Sep 11, 2001
9,580
2,223
0
B-Rad speaks...

Would you believe fans paid to financially back a documentary about their school just to counter bad press, or that a radio station would broadcast a fake football game to appease fans who were furious about the real outcome? It's true. And I hate that.

 

DevilDJ

All-Conference
Sep 11, 2001
9,580
2,223
0
"I'm not pretending in this film to be this objective journalist w/out opinion....I'm not even claiming that what I'm saying is the objective truth. Objective truth is really hard to get at"

lulz
 

DevilDJ

All-Conference
Sep 11, 2001
9,580
2,223
0
61% of UNC FB & WBB athletes in 2 matriculating years were either ADD or LD. UNC "helped" by giving fake classes.

 

DevilDJ

All-Conference
Sep 11, 2001
9,580
2,223
0
UNC coach to athlete: "I cheated, why don't you?" But people like @JayBilas claim coaches not responsible? Nonsense.




 

DevilDJ

All-Conference
Sep 11, 2001
9,580
2,223
0
Wonder if Roy Williams is still "worried" about the major clustering among MBB players?

 

DevilDJ

All-Conference
Sep 11, 2001
9,580
2,223
0
UNC should listen to students instead of athletic department PR. UNC is a university not a sports program.

 

DevilDJ

All-Conference
Sep 11, 2001
9,580
2,223
0
Digging deeper on some of the nonsense MBB coach Roy Williams has tried to peddle on UNC scandal.

 

DevilDJ

All-Conference
Sep 11, 2001
9,580
2,223
0
Regurgitating all the talking points....


Asheville attorney leading UNC board through crucial period

Lou Bissette says his tenure as chairman of the UNC Board of Governors will be short.

The 72-year-old Asheville attorney says he has no plans to seek a full two-year term as chairman once the remainder of Fennebresque’s term is up July 1.

Q: The athletic and academic scandal at UNC Chapel Hill, how has it damaged the school’s reputation and is that damage permanent or something the university can recover from?

A: I think it has damaged not only the reputation of UNC Chapel Hill, but also the reputation of the system as a whole and even the state of North Carolina. So, I think it’s been incredibly unfortunate.

I hope that now with the latest Wainstein report (from former federal prosecutor Kenneth Wainstein), we have found all of the issues because what was happening here was like death by 1,000 cuts. Something else would dribble out, and every time a little something else came out, the whole deal would be rehashed again. … I believe that now we know just about everything that we can know about that situation.

I will also say that Chancellor (Holden) Thorp left. The athletic director is gone. The football coach is gone. There are numerous faculty members who are gone. So to say that Chapel Hill has not paid a price, they have. I’m hopeful that we’re close to the end on that and that the reputation of the university can be repaired. It’s still a phenomenal institution


http://www.citizen-times.com/story/...ng-unc-board-through-crucial-period/77749078/
 

DevilDJ

All-Conference
Sep 11, 2001
9,580
2,223
0
unx alum Bob Lee...

Art says… UNVERIFIED is “Riveting… a Must-See”

DISCLAIMER: re: UNVERIFIED…. Unlike Bre’r Chansky, I have NOT “obtained an advance copy from “it’s creator (Bethel)…” and have no plans to spend SaidWhatMedia $$$ to purchase a ticket. But if furnished a copy, I will review it myself. That is NOT for any pre-conceived bias about the “long- awaited” documentary at all; but rather I only go to two movies a year and I haven’t seen Stars War yet. Using up my “other 2016 movie” in mid-January would be too risky.

WHOA… as we speak, I HAVE JUST received a copy of The Trailer to UNVERIFIED…. it’s down at the bottom of this page.

It seems to me, based on Artie’s comments below and earlier interviews with Cecil B. d’Bethel a/k/a “the creator”; his ax to grind appears to be with The University” for using Athletics as the scapegoat for Academia’s plethora of prolonged evil-doings.

Bethel’s tutoring buddies were hung out to dry i.e. fired; while others higher up the Academic bureaucracy were allowed to waltz away with their fat pensions unaffected. Hard to argue with those facts. I totally agree THAT was a travesty.

“Clueless” Dickie, “Most Ethical” Jan Boxill, Deb Crowder and Uncle Julius were all “in it” up to their chiney chin chins but are now well-pensioned for life. Score one point for creator/ director Bethel.

Chancellor Chihuahua Folt and Tom “Z Smith” Ross refused to be interviewed for the film. That, as we all know from watching countless mobster movies, is the equivalent of “taking the 5th”.

For naive defenders of Tom Ross – NEVER FORGET this Franklin Street Martyr wanted to hire Dickie to be the Athletics Czar of The UNC System. NEVER FORGET THAT when measuring Tom Ross’ “good sense”.

I’m sure Bethel takes the usual shots at (1) The Rabid ABC Lynch Mob for sure, at (2) That Damn Dan Kane and at (3) Mary & Jay (“Bonnie & Clyde”) because doing that is sure to get Pavlovian giggles, hoots and snorts from his 99.6% Carolina Way Drunk-as-Skunks audience of drooling IC board monkeys…. and octogenarian Choo Choo-ites.

Not unlike when a Lynch Mobbie tweets UNCheats and Swahili in 40 tweets/day. …. giggle, hoot, snort.

If/When The Vaunted Carolina Way Myth is ever formally – officially – legally Debunked; a lot of those shallow souls got nuthin’ left. Conversely, not being able to Hate All Things UNC 24/7 would have a similar effect on a lot of ABCers.

FWIW…. Artie was against Wainstein before he ever set foot on campus. Knowing that once he (Wainstein) kicked over the first rock what would crawl out could potentially tarnish the pristine sacred legacy of Carolina’s Voldemort – “He whose name (and Dome) shall not be mentioned”.

Coming up on the 6th Anniversary of Marvin Hits Send; This Great Unpleasantness has long-ago deteriorated into partisan feces flinging…. and giggles & snorts.

Assuming there ever IS an NCAA Verdict it will only generate several more decades of Holocaust Denying and Death Penalty Demanding.

…. as Dickie, Jan, Deb and Julius keep cashing those big fat pension checks. … cha ching, cha ching! Hark That Sound


I HAVE JUST RECEIVED a Trailer of the riveting Documentary courtesy of “my other buddy” – BOG Bad Boy Marty Kotis. Marty’s theater (Red Cinema) in Greensboro will be showing the film. If you do go…. go see it at Marty’s theater and buy lots of Marty’s popcorn and juju beans..



COMMENTS:


CF: Who are the “investors” in this riveting epic?

BL: I have never seen a list or heard of anyone who “invested” in it. If I had to guess, I would say they come from a special faction of UNC Faux Fat Cats who are 3rd-4th generation “silverspoons i.e. trust fund babies” whose self-worth is tied up in The Carolina Way silliness. That false “superiority” means everything to them. Once that bubble burst… they got nuthin’ but a lifestyle someone else earned for them. … If $$$ can solve a problem they have plenty to throw at it.
.
Again, that would be my guess.

BT-IN-SALISBURY: WHY would anyone pay cash $$$ to see that? It’s one no-body’s biased opinion on an issue that means absolutely nothing.

BL: Why are people attracted to Scientology and Radical Liberalism? Because the leaders of those two cults (1) tell them what they want to hear and (2) expect nothing from them except blind devotion. And (3) convince them boogie-men are out to get them. The people you need to be very leery of are the gullible goobers that financed the “riveting” documentary. Do NOT ask “them” to babysit your children

Bob: I assume that all of the wrongfully terminated are now planning a lawsuit. They also need to consider slander in addition to wrongful termination. Bradley could be their counsel.

BL: Great! For all the $$$$ UNC has paid out in “legal fees” (and PR fees) the past five years they could put a dome over Kenan and not need an IPF at all. I’m not sure “because Bradley Bethel says so” is “solid legal grounds” for a lawsuit


http://bobleesays.com/2016/01/09/art-is-riveted-by-unverified-a-must-see/
 

DevilDJ

All-Conference
Sep 11, 2001
9,580
2,223
0
61% of UNC FB & WBB athletes in 2 matriculating years were either ADD or LD. UNC "helped" by giving fake classes.

 

DevilDJ

All-Conference
Sep 11, 2001
9,580
2,223
0
UNC FERPA violation? UNC obtained Georgia Tech athlete data and did not redact before releasing in October.

 

DevilDJ

All-Conference
Sep 11, 2001
9,580
2,223
0
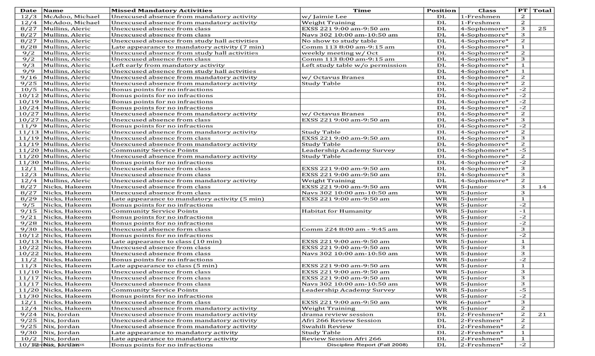
UNC released info on FB players incl. Michael McAdoo, Hakeem Nicks, Tydreke Powell, without redacting names. FERPA?

 

DevilDJ

All-Conference
Sep 11, 2001
9,580
2,223
0
More UNC FERPA violations? Did not redact FB team names from team violations report. One page of many.

 

DevilDJ

All-Conference
Sep 11, 2001
9,580
2,223
0
UNC produced additional Georgia Tech data in October doc release. Got it from ACC Conference.






Note the 2 names on the e-mail...Bridger and Lee. Lulz. B-Rad's opus was a love letter to that duo. They were underlings who took the fall for those higher and Bethel felt he was speaking for 'em. What a joke. True , both ( like other peons ) WERE scapegoated but B-Rad cowardly refuses to name names on who exactly he thinks was pullin' the strings. The closest he's ever come to pointing the finger was a vague reference to unnamed members of NC BOG. He damn sure won't point the finger at athletics. He's a joke and his 15 minutes are about up...especially with holes. They're pizzed his doc didn't exonerate all things unx....and THEY had to pay for it via his "Kickstarter" campaign. lmao at unx fans.
 
Status
Not open for further replies.